Time-Stepping Schemes for Future State Prediction
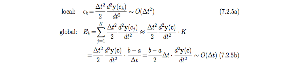
Local and Global Error in Time-Stepping
Stability Regions for the Euler Numerical Scheme
Systems of Differential Equations for Time-Stepping
Dynamical Systems that Exhibit Chaotic Behavior, i.e. the 3-body Problem
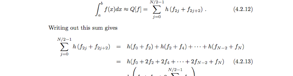
Two-Dimensional Quadrature for Integration
Cummulative Integration Rules